Church Donation Slip Template
Are you looking for an easy way to collect donations for your church? Look no further! With our Church Donation Slip Template, you can streamline the process and make it simple for your congregation to contribute.
Our template is user-friendly and customizable to fit your church’s needs. Simply download the template, fill in the necessary information, and print as many copies as you need. It’s that easy!
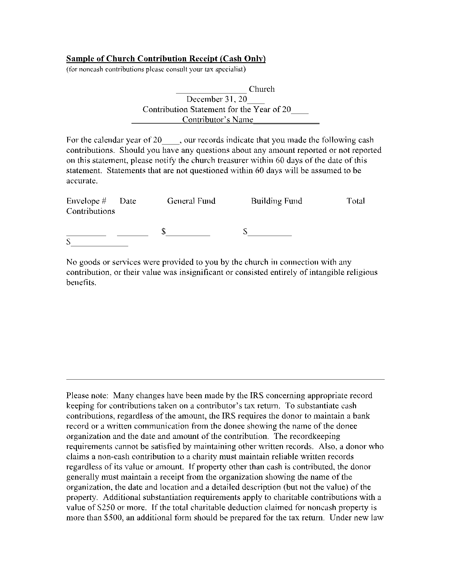
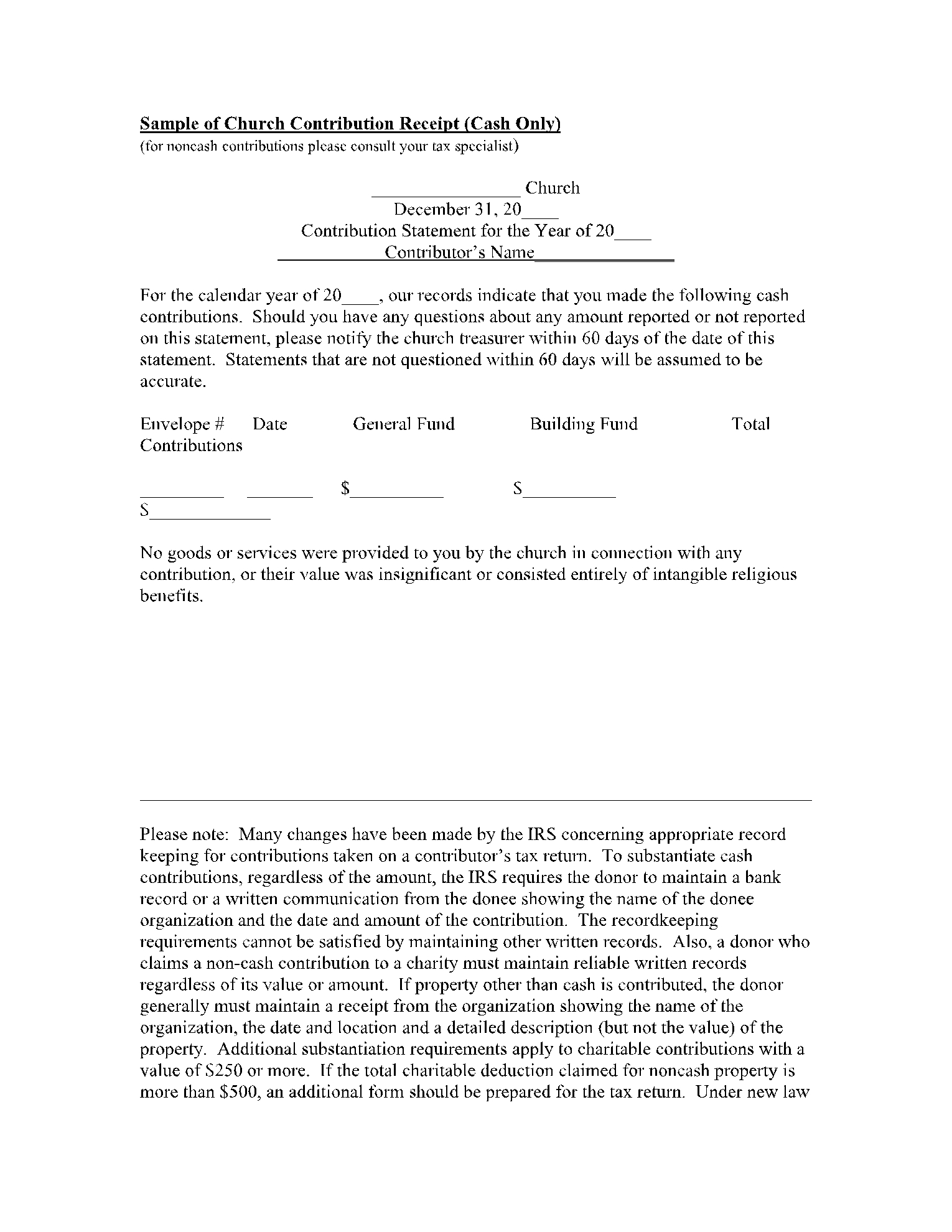
Church Donation Slip Template
Church Donation Slip Template
Whether you’re collecting donations for a specific cause or general church funds, our template has you covered. You can add your church’s logo, contact information, and a brief message to personalize the slip for your congregation.
Encourage your members to fill out the slip with their donation amount, name, and any other requested information. This not only helps you keep track of donations but also shows your congregation the impact of their contributions.
Once the slips are filled out, simply collect them and process the donations accordingly. You can easily keep records of who donated, how much, and when, making financial tracking a breeze.
Don’t let collecting donations be a hassle. Use our Church Donation Slip Template to simplify the process and make it easy for your congregation to give back. Download the template today and start making a difference in your church community!
Church Donation Receipt Etsy
Church Donation Receipt Template Free Download CocoSign
Nonprofit Donation Receipt Donation Receipt Forms Donation Receipt Template Charity Donation Receipt Etsy
Church Donation Receipt Template Invoice Maker
Free Church Donation Receipt PDF Word EForms




